Einstein's Blackboard
Expanding universe, expanding minds
It's May 1931
Albert Einstein is visiting Oxford to give three talks on his General Theory of Relativity.
After his second lecture, two of Einstein's hand-written blackboards — covered in his new model of an expanding universe — are whisked away to the Museum of the History of Science (now the History of Science Museum).
One of the blackboards is accidentally wiped by a cleaner.
The other survives in the care of our curators.
More than just a glimpse into the mind of a genius, it's an intriguing snapshot of a key moment in our understanding of the cosmos
But if Einstein had given his lecture just two years earlier, this Blackboard would show a very different theory about the universe.
So why did Einstein change his mind?
Before the Blackboard
The Blackboard’s story begins in 1916 when — at the age of 37 – Einstein publishes his General Theory of Relativity
Einstein argues that space and time — called ‘spacetime’ — respond to the presence of all sources of energy in the Universe.
That means spacetime is bent by objects – like stars and planets – which all flow through this warped space as if pulled by an invisible gravitational force.
American physicist Professor John Wheeler famously summed up Einstein’s Theory in 12 words:
"Spacetime tells matter how to move, matter tells spacetime how to curve"
On Earth, it explains why Newton’s apple falls from a tree.
And on a cosmic scale, it suggests the universe is changing (either getting bigger or smaller).
But in 1916 – and for a decade afterwards – there was no definitive evidence to support this.
So Einstein – who was uncomfortable with the idea of an expanding universe – resolved the conflict by adding another term to balance his equations and keep the universe static.
He called it the universal constant
Then in 1929, American astronomers Edwin Hubble and Milton Humason – who had measured the distances and speeds of 22 galaxies – published evidence that those galaxies were moving away from us.
Photo by Bryan Goff on Unsplash
Photo by Bryan Goff on Unsplash
And the further away a galaxy was, the faster it was moving.
This convinced the scientific community – including Einstein himself – that the universe was indeed getting bigger.
So Einstein abandoned the universal constant and developed his own model of the expanding universe.
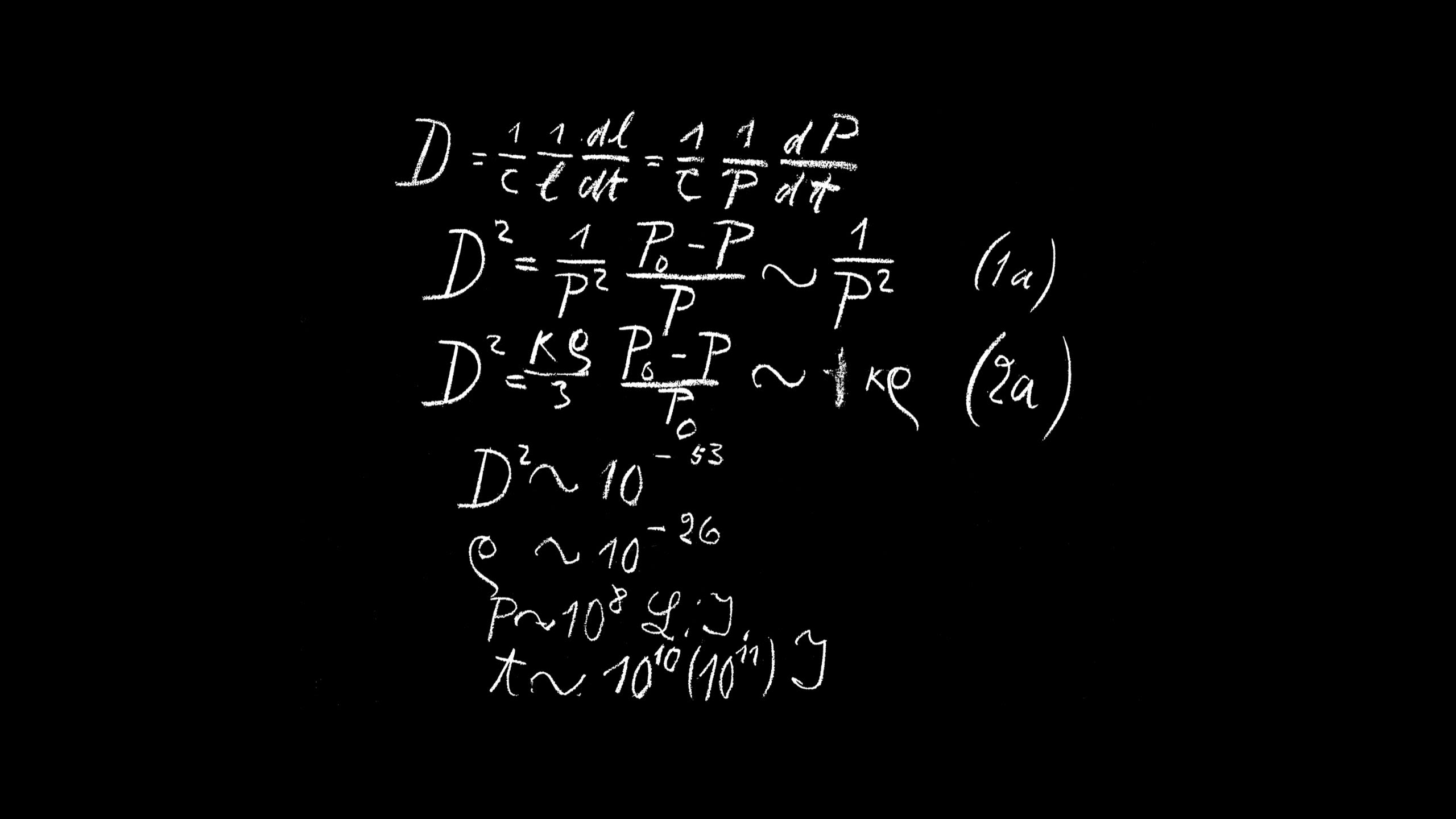
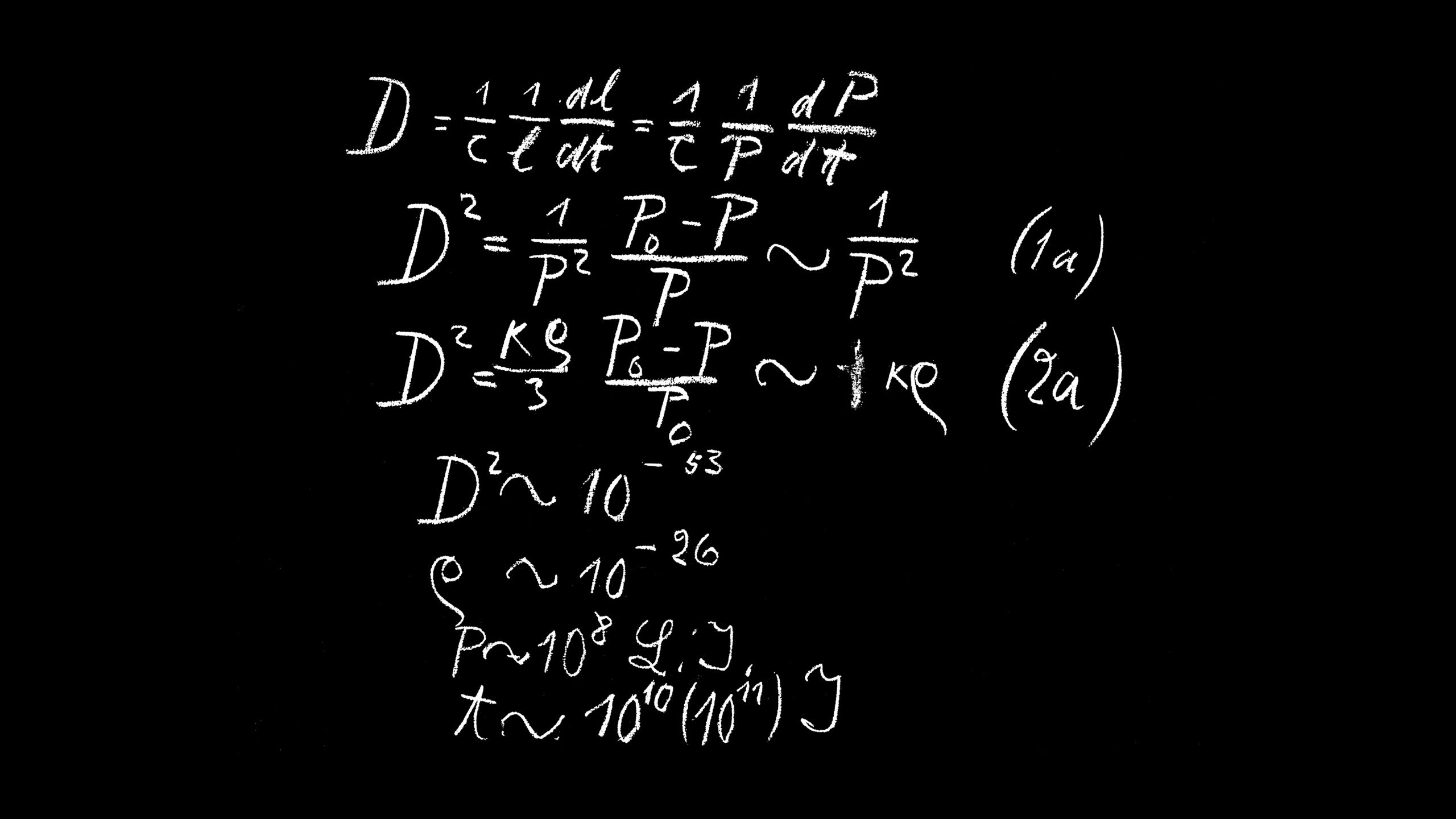
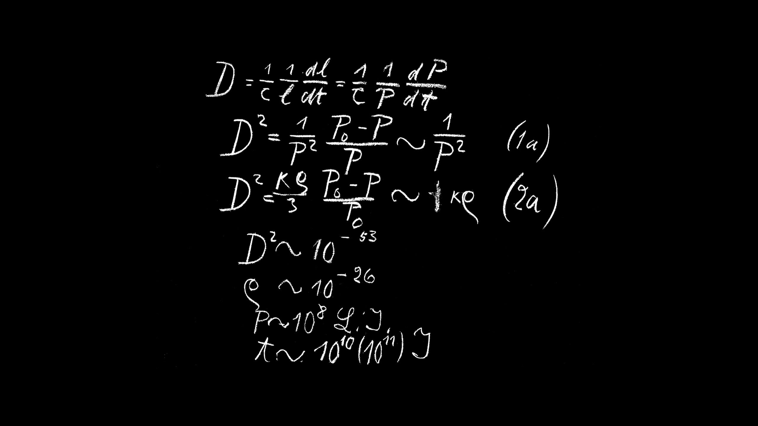
The Blackboard line by line
May 1931
Albert Einstein has just given the second of his lectures on his General Theory of Relativity.
This blackboard is one he used in that lecture to talk about the expansion of the Universe
Einstein's equations relate the galaxies moving away from us to space expanding on cosmic scales.
How quickly is the Universe expanding?
In the first four lines, Einstein is working out an expression for D.
D shows how quickly the expansion is happening, worked out by measuring how fast distant galaxies are moving away from us.
The last 3 lines show Einstein's conclusions about the universe
How much matter is in the Universe?
Einstein connects the expansion to the amount of ‘stuff’ (or matter) in the Universe.
He concludes that the Universe contains about
10-26 grams of matter per cubic centimetre.
How wide is the Universe?
Radius (P) = 108 Light Years is small, which indicates the universe is younger than expected.
Einstein writes ‘L:J’ for “Lichtjahre” which is “Light Years” in German.
How old is the Universe?
If we know how quickly the Universe is expanding, we can also work out how long it has been expanding (t).
Einstein estimated it was between 10 and 100 billion years old.
He made a few mistakes in his calculations, but he wasn’t too far off: we now believe the universe is roughly 14 billion years old.
Beyond the Blackboard
Cosmology Today
The Return of the Constant
Scientists now think that not only is the Universe getting bigger, but the expansion is speeding up.
Photo by Greg Rakozy on Unsplash
Photo by Greg Rakozy on Unsplash
So they’ve reintroduced Einstein’s discarded universal constant – renamed the Cosmological Constant – as a possible explanation.
Over one hundred years on, Einstein’s General Theory of Relativity is central to a whole new era of cosmology.
With thanks to:
Professor Pedro Ferreira, Professor in Astrophysics at the University of Oxford
and
Dr Cormac O' Raifeartaigh, Lecturer in Physics at the South East Technological University, Waterford, Ireland.
More to explore
Collections Online
Study the Blackboard in our online Collections database
Blog: How Einstein's Theory of Gravity is Helping me See the World
Dr Hayley Macpherson talks apples, trampolines and astrophysics
Blog: Clever? Not really
Dr Katy Clough talks about writing your own career story – and how she came to study Black Holes and the Big Bang



